Cover Picture: (Adv. Synth. Catal. 11-12/2009)
1701
|
| Full: PDF (935 K) |
|
Graphical Abstract: Adv. Synth. Catal. 11-12/2009
1703-1712
|
| Full: PDF (482 K) |
|
Aminations of Aryl Bromides in Water at Room Temperature Bruce H. Lipshutz, David W. Chung, Brian Rich 1717-1721
|
| Full: PDF (271 K) |
|
An Efficient Copper-Catalyzed Amination of Aryl Halides by Aqueous Ammonia Deping Wang, Qian Cai, Ke Ding 1722-1726
|
| Full: PDF (172 K) |
|
Conventional Tetrakis(triphenylphosphine)palladium-Copper(I) Iodide-Catalyzed Sonogashira Coupling of Free and BOC- Protected Propargylic Amines "On Water" Bartomeu Soberats, Luis Martínez, Manuel Vega, Carmen Rotger, Antoni Costa 1727-1731
|
| Full: PDF (215 K) |
|
Iron-Catalyzed Suzuki-Miyaura Cross-Coupling Reaction David Bézier, Christophe Darcel 1732-1736
|
| Full: PDF (167 K) |
|
Ruthenium(II) Acetate Catalyst for Direct Functionalisation of sp2-C-H Bonds with Aryl Chlorides and Access to Tris- Heterocyclic Molecules Franc Pozgan, Pierre H. Dixneuf 1737-1743
|
| Full: PDF (198 K) |
|
Organocatalytic Activity of N-Heterocyclic Carbenes in the Michael Addition of 1,3-Dicarbonyl Compounds: Application to a Stereoselective Spirocyclization Sequence Thomas Boddaert, Yoann Coquerel, Jean Rodriguez 1744-1748
|
| Full: PDF (180 K) |
|
A Direct Intermolecular Cross-Benzoin Type Reaction: N-Heterocyclic Carbene-Catalyzed Coupling of Aromatic Aldehydes with Trifluoromethyl Ketones Dieter Enders, Alexander Henseler 1749-1752
|
| Full: PDF (122 K) |
|
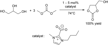
Imidazolium-2-Carboxylate as an Efficient, Expeditious and Eco-Friendly Organocatalyst for Glycerol Carbonate Synthesis Prashant U. Naik, Laetitia Petitjean, Karima Refes, Michel Picquet, Laurent Plasseraud 1753-1756
|
| Full: PDF (164 K) |
|
Asymmetric Aldol Reaction of Ketones with Alkenyl Trichloroacetates Catalyzed by Dibutyltin Dimethoxide and BINAP⋅Silver(I) Complex: Construction of a Chiral Tertiary Carbon Center Akira Yanagisawa, Yuuki Terajima, Kazuma Sugita, Kazuhiro Yoshida 1757-1762
|
| Full: PDF (206 K) |
|
The First Catalytic Enantioselective Aldol-Type Reaction of Ethyl Diazoacetate to Ketones Fides Benfatti, Seda Yilmaz, Pier Giorgio Cozzi 1763-1767
|
| Full: PDF (158 K) |
|
Copper-Catalyzed One-Pot Synthesis of 2-Alkylidene-1,2,3,4- tetrahydropyrimidines Wei Lu, Wangze Song, Deng Hong, Ping Lu, Yanguang Wang 1768-1772
|
| Full: PDF (232 K) |
|
Palladium-Catalyzed Asymmetric Allylic Alkylation of 2,3-Allenyl Acetates Using a Chiral Diaminophosphine Oxide Tetsuhiro Nemoto, Mutsumi Kanematsu, Shinji Tamura, Yasumasa Hamada 1773-1778
|
| Full: PDF (170 K) |
|
Enantio- and Diastereoselective Mannich-Type Reactions of α-Cyano Ketones with N-Boc Aldimines Catalyzed by Chiral Bifunctional Urea Ju Hee Lee, Dae Young Kim 1779-1782
|
| Full: PDF (188 K) |
|
A Convenient and Efficient Rhenium-Catalyzed Hydrosilylation of Ketones and Aldehydes Hailin Dong, Heinz Berke 1783-1788
|
| Full: PDF (180 K) |
|
Nanoparticle Supported, Magnetically Recoverable Oxodiperoxo Molybdenum Complexes: Efficient Catalysts for Selective Epoxidation Reactions Sankaranarayanapillai Shylesh, Julia Schweizer, Serhiy Demeshko, Volker Schünemann, Stefan Ernst, Werner R. Thiel 1789-1795
|
| Full: PDF (291 K) |
|
Kinetic Resolution of P-Chirogenic Compounds by Palladium-Catalyzed Alcoholysis of Vinyl Ethers Hisashi Itoh, Eiji Yamamoto, Shigeyuki Masaoka, Ken Sakai, Makoto Tokunaga 1796-1800
|
| Full: PDF (173 K) |
|
A New Stereoselective Synthesis of Cyclopropanes Containing Quaternary Stereocentres via Organocatalytic Michael Addition to Vinyl Selenones Francesca Marini, Silvia Sternativo, Francesca Del Verme, Lorenzo Testaferri, Marcello Tiecco 1801-1806
|
| Full: PDF (190 K) |
|
Significant Self-Acceleration Effects of Nitrile Additives in the Rhodium-Catalyzed Conversion of Aldoximes to Amides: A New Mechanistic Aspect Min Kim, Jinwoo Lee, Hee-Yoon Lee, Sukbok Chang 1807-1812
|
| Full: PDF (268 K) |
|
Unprecedent Chemo- and Stereoselective Palladium-Catalysed Methoxycarbonylation of Norbornene Carolina Blanco, Aurora Ruiz, Cyril Godard, Nicolas Fleury-Brégeot, Angela Marinetti, Carmen Claver 1813-1816
|
| Full: PDF (175 K) |
|
Stability of Second Generation Grubbs’ Alkylidenes to Primary Amines: Formation of Novel Ruthenium-Amine Complexes Gerald O. Wilson, Keith A. Porter, Haim Weissman, Scott R. White, Nancy R. Sottos, Jeffrey S. Moore 1817-1825
|
| Full: PDF (640 K) |
|
Improved Chiral Olefin Metathesis Catalysts: Increasing the Thermal and Solution Stability via Modification of a C1-Symmetrical N-Heterocyclic Carbene Ligand Jolaine Savoie, Brice Stenne, Shawn K. Collins 1826-1832
|
| Full: PDF (292 K) |
|
Promiscuous Zinc-Dependent Acylase-Mediated One-Pot Synthesis of Monosaccharide-Containing Pyrimidine Derivatives in Organic Medium Qi Wu, Jian-Ming Xu, Li Xia, Jun-Liang Wang, Xian-Fu Lin 1833-1841
|
| Full: PDF (246 K) |
|
Promiscuous Substrate Binding Explains the Enzymatic Stereo- and Regiocontrolled Synthesis of Enantiopure Hydroxy Ketones and Diols Marcela Kurina-Sanz, Fabricio R. Bisogno, Iván Lavandera, Alejandro A. Orden, Vicente Gotor 1842-1848
|
| Full: PDF (306 K) |
|
Regio- and Stereoselective Allylic Hydroxylation of D-Limonene to (+)-trans-Carveol with Cellulosimicrobium cellulans EB-8-4 Zunsheng Wang, Felicia Lie, Estella Lim, Keyang Li, Zhi Li 1849-1856
|
| Full: PDF (344 K) |
|
On the Mechanism of Biotransformation of the Anthraquinonic Dye Acid Blue 62 by Laccases Luciana Pereira, Ana V. Coelho, Cristina A. Viegas, Christelle Ganachaud, Gilles Iacazio, Thierry Tron, M. Paula Robalo, Lígia O. Martins 1857-1865
|
| Full: PDF (448 K) |
|
Prevention of Manganese Precipitation during the Continuous Selective Partial Oxidation of Methyl Aromatics with Molecular Oxygen in Supercritical Water Joan Fraga-Dubreuil, Eduardo Garcia-Verdugo, Paul A. Hamley, Eduardo Perez, Ian Pearson, W. Barry Thomas, Duncan Housley, Walt Partenheimer, Martyn Poliakoff 1866-1876
|
| Full: PDF (236 K) |
|
Highly Selective Oxidation of Alkylphenols to Benzoquinones with Hydrogen Peroxide over Silica-Supported Titanium Catalysts: Titanium Cluster Site versus Titanium Single Site Oxana A. Kholdeeva, Irina D. Ivanchikova, Matteo Guidotti, Claudio Pirovano, Nicoletta Ravasio, Marina V. Barmatova, Yurii A. Chesalov 1877-1889
|
| Full: PDF (332 K) |
|
Efficient Aerobic Oxidation of Alcohols using a Hydrotalcite-Supported Gold Nanoparticle Catalyst Takato Mitsudome, Akifumi Noujima, Tomoo Mizugaki, Koichiro Jitsukawa, Kiyotomi Kaneda 1890-1896
|
| Full: PDF (206 K) |
|
Catalytic 1,2-Dicyanation of Alkynes by Palladium(II) under Aerobic Conditions Shigeru Arai, Takashi Sato, Atsushi Nishida 1897-1904
|
| Full: PDF (237 K) |
|
Ketonization of 1,5-Cyclooctadiene by Nitrous Oxide Dmitry P. Ivanov, Konstantin A. Dubkov, Dmitry E. Babushkin, Sergey V. Semikolenov, Gennady I. Panov 1905-1911
|
| Full: PDF (243 K) |
|
Hydrogenation of Phenol in Supercritical Carbon Dioxide Catalyzed by Palladium Supported on Al-MCM-41: A Facile Route for One-Pot Cyclohexanone Formation M. Chatterjee, H. Kawanami, M. Sato, A. Chatterjee, T. Yokoyama, T. Suzuki 1912-1924
|
| Full: PDF (420 K) |
|
Highly Efficient Halogenation of Organic Compounds with Halides Catalyzed by Cerium(III) Chloride Heptahydrate Using Hydrogen Peroxide as the Terminal Oxidant in Water Habib Firouzabadi, Nasser Iranpoor, Somayeh Kazemi, Arash Ghaderi, Atefeh Garzan 1925-1932
|
| Full: PDF (175 K) |
|
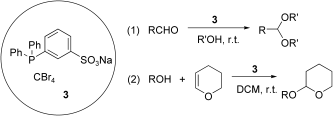
Carbon Tetrabromide/Sodium Triphenylphosphine-m-sulfonate (TPPMS) as an Efficient and Easily Recoverable Catalyst for Acetalization and Tetrahydropyranylation Reactions Congde Huo, Tak Hang Chan 1933-1938
|
| Full: PDF (290 K) |
|
Lanthanide Bis[(trifluoromethyl)sulfonyl]imides as Reusable Catalysts for Mononitration of Substituted Benzenes in Ionic Liquids Shuojin Wang, Shaojie Jiang, Jin Nie 1939-1945
|
| Full: PDF (192 K) |
|
Ferric Chloride Hexahydrate-Catalyzed Highly Regio- and Stereoselective Conjugate Addition Reaction of 2,3-Allenoates with Grignard Reagents: An Efficient Synthesis of β,γ-Alkenoates Guobi Chai, Zhan Lu, Chunling Fu, Shengming Ma 1946-1954
|
| Full: PDF (261 K) |
|
Zinc-Salen-Catalyzed Asymmetric Alkynylation of Alkyl Acylsilanes Feng-Quan Li, Shi Zhong, Gui Lu, Albert S. C. Chan 1955-1960
|
| Full: PDF (188 K) |
|
Combining Fluorous and Triazole Moieties for the Tagging of Chiral Azabis(oxazoline) Ligands Ramesh Rasappan, Tobias Olbrich, Oliver Reiser 1961-1967
|
| Full: PDF (296 K) |
|
Synthesis of Chiral 2-Phospha[3]ferrocenophanes and their Behaviour as Organocatalysts in [3+2] Cyclization Reactions Arnaud Voituriez, Armen Panossian, Nicolas Fleury-Brégeot, Pascal Retailleau, Angela Marinetti 1968-1976
|
| Full: PDF (336 K) |
|
Regioselective C-2 or C-5 Direct Arylation of Pyrroles with Aryl Bromides using a Ligand-Free Palladium Catalyst Julien Roger, Henri Doucet 1977-1990
|
| Full: PDF (311 K) |
|
A Dual Gold-Iron Catalysis for a One-Pot Synthesis of 2,3-Dihydroisoxazoles from Propargylic Alcohols and N-Protected Hydroxylamines Olivier Debleds, Christophe Dal Zotto, Emmanuel Vrancken, Jean-Marc Campagne, Pascal Retailleau 1991-1998
|
| Full: PDF (338 K) |
|
Copper-Catalyzed Synthesis of 1,2,4-Benzothiadiazine 1,1-Dioxide Derivatives by Coupling of 2-Halobenzenesulfonamides with Amidines Daoshan Yang, Hongxia Liu, Haijun Yang, Hua Fu, Liming Hu, Yuyang Jiang, Yufen Zhao 1999-2004
|
| Full: PDF (228 K) |
|
A New Approach to Pyrrolocoumarin Derivatives by Palladium-Catalyzed Reactions: Expedient Construction of Polycyclic Lamellarin Scaffold Lei Chen, Ming-Hua Xu 2005-2012
|
| Full: PDF (270 K) |
|
Pyrazole Synthesis Using a Titanium-Catalyzed Multicomponent Coupling Reaction and Synthesis of Withasomnine Supriyo Majumder, Kevin R. Gipson, Richard J. Staples, Aaron L. Odom 2013-2023
|
| Full: PDF (243 K) |
|
A Highly Efficient Synthesis of a Naphthalenoid Histamine-3 Antagonist Yi-Yin Ku, Tim Grieme, Yu-Ming Pu, Ashok V. Bhatia 2024-2030
|
| Full: PDF (249 K) |
|
Imidazol(in)ium-2-carboxylates as N-Heterocyclic Carbene Precursors for the Synthesis of Second Generation Ruthenium Metathesis Catalysts Xavier Sauvage, Albert Demonceau, Lionel Delaude 2031-2038
|
| Full: PDF (203 K) |
|