Editorial board
IFC
|
| Full: PDF (36 K) |
|
Graphical contents list
3351-3369
|
| Full: PDF (2666 K) |
|
Synthesis and antinociceptive activity of pyrazolyl isoxazolines and pyrazolyl isoxazoles K. Karthikeyan, T. Veenus Seelan, K.G. Lalitha, P.T. Perumal 3370-3373
|
| Full: PDF (221 K) |
|
Optimization of the central linker of dicationic bis-benzimidazole anti-MRSA and anti-VRE agents Laixing Hu, Maureen L. Kully, David W. Boykin, Norman Abood 3374-3377
|
| Full: PDF (316 K) |
|
Cancer preventive agents 9. Betulinic acid derivatives as potent cancer chemopreventive agents Kyoko Nakagawa-Goto, Koji Yamada, Masahiko Taniguchi, Harukuni Tokuda, Kuo-Hsiung Lee 3378-3381
|
| Full: PDF (299 K) |
|
Iodophenyl tagged sphingosine derivatives: Synthesis and preliminary biological evaluation Wenchao Qu, Karl Ploessl, Hong Truong, Mei-Ping Kung, Hank F. Kung 3382-3385
|
| Full: PDF (274 K) |
|
Synthesis and evaluation of an acyl-chain unsaturated analog of the Th2 biasing, immunostimulatory glycolipid, OCH Geetha Velmourougane, Ravinder Raju, Gabriel Bricard, Jin S. Im, Gurdyal S. Besra, Steven A. Porcelli, Amy R. Howell 3386-3388
|
| Full: PDF (396 K) |
|
Hirtellanines A and B, a pair of isomeric isoflavonoid derivatives from Campylotropis hirtella and their immunosuppressive activities Qing Yao Shou, Qing Tan, Zheng Wu Shen 3389-3391
|
| Full: PDF (243 K) |
|
Synthesis of 4-substituted pyrido[2,3-d]pyrimidin-4(1H)-one as analgesic and anti-inflammatory agents Abdel-Rahman B.A. El-Gazzar, Hend N. Hafez 3392-3397
|
| Full: PDF (299 K) |
|
Discovery of spirocyclic secondary amine-derived tertiary ureas as highly potent, selective and bioavailable soluble epoxide hydrolase inhibitors Hong C. Shen, Fa-Xiang Ding, Siyi Wang, Suoyu Xu, Hsuan-shen Chen, Xinchun Tong, Vincent Tong, Kaushik Mitra, Sanjeev Kumar, Xiaoping Zhang, Yuli Chen, Gaochao Zhou, Lee-Yuh Pai, Magdalena Alonso-Galicia, Xiaoli Chen, Bei Zhang, James R. Tata, Joel P. Berger, Steven L. Colletti 3398-3404
|
| Full: PDF (787 K) |
|
Substituted benzimidazoles: A novel chemotype for small molecule hKSP inhibitors Brian R. Lahue, Yao Ma, Gerald W. Shipps Jr., Wolfgang Seghezzi, Ronald Herbst 3405-3409
|
| Full: PDF (430 K) |
|
Carrier PNA for shRNA delivery into cells Mizuki Kitamatsu, Takanori Kubo, Rino Matsuzaki, Tamaki Endoh, Takashi Ohtsuki, Masahiko Sisido 3410-3413
|
| Full: PDF (402 K) |
|
Synthesis and evaluation of 9-O-substituted berberine derivatives containing aza-aromatic terminal group as highly selective telomeric G-quadruplex stabilizing ligands Yan Ma, Tian-Miao Ou, Jia-Heng Tan, Jin-Qiang Hou, Shi-Liang Huang, Lian-Quan Gu, Zhi-Shu Huang 3414-3417
|
| Full: PDF (399 K) |
|
Novel sulfone-containing di- and trisubstituted cyclohexanes as potent CC chemokine receptor 2 (CCR2) antagonists Robert J. Cherney, Ruowei Mo, Dayton T. Meyer, Matthew E. Voss, Yvonne C. Lo, Gengjie Yang, Persymphonie B. Miller, Peggy A. Scherle, Andrew J. Tebben, Percy H. Carter, Carl P. Decicco 3418-3422
|
| Full: PDF (468 K) |
|
Synthesis and biological evaluation of platinum–acridine hybrid agents modified with bipyridine non-leaving groups Alexander R. Kheradi, Gilda Saluta, Gregory L. Kucera, Cynthia S. Day, Ulrich Bierbach 3423-3425
|
| Full: PDF (309 K) |
|
Discovery of novel motilin antagonists: Conversion of tetrapeptide leads to orally available peptidomimetics Naoki Taka, Hiroharu Matsuoka, Tsutomu Sato, Hitoshi Yoshino, Ikuhiro Imaoka, Haruhiko Sato, Ken-ichiro Kotake, Yoshikazu Kumagai, Kenshi Kamei, Ken-ichi Ozaki, Atsuko Higashida, Toshio Kuroki 3426-3429
|
| Full: PDF (328 K) |
|
Carbonic anhydrase activators. Activation of the membrane-associated isoform XV with amino acids and amines Alessio Innocenti, Mika Hilvo, Seppo Parkkila, Andrea Scozzafava, Claudiu T. Supuran 3430-3433
|
| Full: PDF (225 K) |
|
2,6-Diphenylthiazolo[3,2-b][1,2,4]triazoles as telomeric G-quadruplex stabilizers Jamal El Bakali, Frédérique Klupsch, Aurore Guédin, Bertrand Brassart, Gaëlle Fontaine, Amaury Farce, Pascal Roussel, Raymond Houssin, Jean-Luc Bernier, Philippe Chavatte, Jean-Louis Mergny, Jean-François Riou, Jean-Pierre Hénichart 3434-3438
|
| Full: PDF (386 K) |
|
Synthesis of 11C-labeled 2-aminoethanol via a nitroaldol reaction using nitro[11C]methane Koichi Kato, Ming-Rong Zhang, Katsuyuki Minegishi, Kazutoshi Suzuki 3439-3441
|
| Full: PDF (336 K) |
|
Fast and easy access to efficient bifunctional chelators for MRI applications Giuseppe Gugliotta, Mauro Botta, Giovanni Battista Giovenzana, Lorenzo Tei 3442-3444
|
| Full: PDF (260 K) |
|
Synthesis and activity of quinolinylmethyl P1′ α-sulfone piperidine hydroxamate inhibitors of TACE Chunchun Zhang, Frank Lovering, Mark Behnke, Arie Zask, Vincent Sandanayaka, Linhong Sun, Yi Zhu, Weixin Xu, Yuhua Zhang, Jeremy I. Levin 3445-3448
|
| Full: PDF (259 K) |
|
Bis-neonicotinoid insecticides: Observed and predicted binding interactions with the nicotinic receptor Ikuya Ohno, Motohiro Tomizawaa, Kathleen A. Durkin, John E. Casida, Shinzo Kagabu 3449-3452
|
| Full: PDF (453 K) |
|
Discovery of novel phosphonate derivatives as hepatitis C virus NS3 protease inhibitors X. Christopher Sheng, Hyung-Jung Pyun, Kleem Chaudhary, Jianying Wang, Edward Doerffler, Melissa Fleury, Darren McMurtrie, Xiaowu Chen, William E. Delaney IV, Choung U. Kim 3453-3457
|
| Full: PDF (682 K) |
|
Linear disulfide-containing low polymer as efficient DNA cleavage reagent Yong-Zhe Xiang, Yi-Le Liao, Ji Zhang, Da-Wei Zhang, Shan-Yong Chen, Qiao-Sen Lu, Yu Zhang, Hong-Hui Lin, Xiao-Qi Yu 3458-3460
|
| Full: PDF (394 K) |
|
An atom economic synthesis and antitubercular evaluation of novel spiro-cyclohexanones Raju Ranjith Kumar, Subbu Perumal, S.C. Manju, Pritesh Bhatt, Perumal Yogeeswari, Dharmarajan Sriram 3461-3465
|
| Full: PDF (496 K) |
|
Synthesis and antibacterial activity of some novel imidazole-based dicationic quinolinophanes Perumal Rajakumar, Rathinam Raja, Subramaniyan Selvam, Ramasamy Rengasamy, Subramani Nagaraj 3466-3470
|
| Full: PDF (322 K) |
|
Hit-to-lead optimization of pyrrolo[1,2-a]quinoxalines as novel cannabinoid type 1 receptor antagonists György Szabó, Róbert Kiss, Dóra Páyer-Lengyel, Krisztina Vukics, Judit Szikra, Andrea Baki, László Molnár, János Fischer, György M. Keserű 3471-3475
|
| Full: PDF (372 K) |
|
Design, synthesis and structure–activity relationships of (1H-pyridin-4-ylidene)amines as potential antimalarials Tiago Rodrigues, Rita C. Guedes, Daniel J.V.A. dos Santos, Marta Carrasco, Jiri Gut, Philip J. Rosenthal, Rui Moreira, Francisca Lopes 3476-3480
|
| Full: PDF (675 K) |
|
Discovery of 1-benzoyl-3-cyanopyrrolo[1,2-a]quinolines as a new series of apoptosis inducers using a cell- and caspase-based high-throughput screening assay. 2: Structure–activity relationships of the 4-, 5-, 6-, 7- and 8-positions William Kemnitzer, Jared Kuemmerle, Songchun Jiang, Nilantha Sirisoma, Shailaja Kasibhatla, Candace Crogan-Grundy, Ben Tseng, John Drewe, Sui Xiong Cai 3481-3484
|
| Full: PDF (619 K) |
|
Selective inhibitors of tumor progression loci-2 (Tpl2) kinase with potent inhibition of TNF-α production in human whole blood Junjun Wu, Neal Green, Rajeev Hotchandani, Yonghan Hu, Jeffrey Condon, Adrian Huang, Neelu Kaila, Huan-Qiu Li, Satenig Guler, Wei Li, Steve Y. Tam, Qin Wang, Jeffrey Pelker, Suzana Marusic, Sang Hsu, J. Perry Hall, Jean-Baptiste Telliez, Junqing Cui, Lih-Ling Lin 3485-3488
|
| Full: PDF (530 K) |
|
Substituted tetrahydrocarbazoles with potent activity against human papillomaviruses Kristjan S. Gudmundsson, Paul R. Sebahar, Leah D’Aurora Richardson, John G. Catalano, Sharon D. Boggs, Andrew Spaltenstein, Phiroze B. Sethna, Kevin W. Brown, Robert Harvey, Karen R. Romines 3489-3492
|
| Full: PDF (951 K) |
|
N-(Pyridin-2-yl) arylsulfonamide inhibitors of 11β-hydroxysteroid dehydrogenase type 1: Discovery of PF-915275 Michael Siu, Theodore O. Johnson, Yong Wang, Sajiv K. Nair, Wendy D. Taylor, Stephan J. Cripps, Jean J. Matthews, Martin P. Edwards, Thomas A. Pauly, Jacques Ermolieff, Arturo Castro, Natilie A. Hosea, Amy LaPaglia, Andrea N. Fanjul, Jennifer E. Vogel 3493-3497
|
| Full: PDF (1448 K) |
|
[68Ga]Ga-DO2A-(OBu-l-tyr)2: Synthesis, 68Ga-radiolabeling and in vitro studies of a novel 68Ga-DO2A-tyrosine conjugate as potential tumor tracer for PET Carsten Burchardt, Patrick J. Riss, Frederic Zoller, Simone Maschauer, Olaf Prante, Torsten Kuwert, Frank Roesch 3498-3501
|
| Full: PDF (317 K) |
|
Semisynthesis and antiproliferative evaluation of a series of 3′-aminoflavones Jérôme Quintin, Didier Buisson, Sylviane Thoret, Thierry Cresteil, Guy Lewin 3502-3506
|
| Full: PDF (273 K) |
|
Oxidation of carbidopa by tyrosinase and its effect on murine melanoma Beata Gąsowska-Bajger, Bożena Frąckowiak-Wojtasek, Sabina Koj, Tomasz Cichoń, Ryszard Smolarczyk, Stanisław Szala, Hubert Wojtasek 3507-3510
|
| Full: PDF (325 K) |
|
Aryl urea derivatives of spiropiperidines as NPY Y5 receptor antagonists Toshiyuki Takahashi, Yuji Haga, Toshihiro Sakamoto, Minoru Moriya, Osamu Okamoto, Katsumasa Nonoshita, Takunobu Shibata, Takuya Suga, Hirobumi Takahashi, Tomoko Hirohashi, Aya Sakuraba, Akira Gomori, Hisashi Iwaasa, Tomoyuki Ohe, Akane Ishihara, Yasuyuki Ishii, Akio Kanatani, Takehiro Fukami 3511-3516
|
| Full: PDF (2002 K) |
|
Aminoquinoline derivatives with antiproliferative activity against melanoma cell line Bong Soo Nam, Hwan Kim, Chang-Hyun Oh, So Ha Lee, Seung Joo Cho, Tae Bo Sim, Jung-Mi Hah, Dong Jin Kim, Jung Hoon Choi, Kyung Ho Yoo 3517-3520
|
| Full: PDF (749 K) |
|
Repenins A–D, four new antioxidative coumarinolignoids from Duranta repens Linn. Nisar Ahmad, Fozia Zeb, Ijaz Ahmad, Fanghai Wang 3521-3524
|
| Full: PDF (221 K) |
|
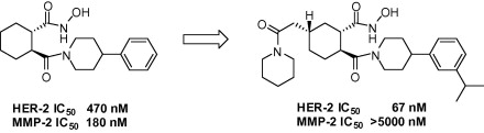
Compelling P1 substituent affect on metalloprotease binding profile enables the design of a novel cyclohexyl core scaffold with excellent MMP selectivity and HER-2 sheddase inhibition David M. Burns, Yun-Long Li, Eric Shi, Chunhong He, Meizhong Xu, Jincong Zhuo, Colin Zhang, Ding-Quan Qian, Yanlong Li, Richard Wynn, Maryanne B. Covington, Kamna Katiyar, Cindy A. Marando, Jordan S. Fridman, Peggy Scherle, Steve Friedman, Brian Metcalf, Wenqing Yao 3525-3530
|
| Full: PDF (1242 K) |
|
Nocathiacin analogs: Synthesis and antibacterial activity of novel water-soluble amides Libo Xu, Amy K. Farthing, James F. Dropinski, Peter T. Meinke, Christine McCallum, Penny S. Leavitt, Emily J. Hickey, Lawrence Colwell, John Barrett, Kun Liu 3531-3535
|
| Full: PDF (884 K) |
|
Discovery of 4-anilino-N-methylthieno[3,2-d]pyrimidines and 4-anilino-N-methylthieno[2,3-d]pyrimidines as potent apoptosis inducers William Kemnitzer, Nilantha Sirisoma, Chris May, Ben Tseng, John Drewe, Sui Xiong Cai 3536-3540
|
| Full: PDF (440 K) |
|
Design and optimization of renin inhibitors: Orally bioavailable alkyl amines Colin M. Tice, Zhenrong Xu, Jing Yuan, Robert D. Simpson, Salvacion T. Cacatian, Patrick T. Flaherty, Wei Zhao, Joan Guo, Alexey Ishchenko, Suresh B. Singh, Zhongren Wu, Boyd B. Scott, Yuri Bukhtiyarov, Jennifer Berbaum, Jennifer Mason, Reshma Panemangalore, Maria Grazia Cappiello, Dominik Müller, Richard K. Harrison, Gerard M. McGeehan, et al. 3541-3545
|
| Full: PDF (302 K) |
|
Antimalarial activity of thiosemicarbazones and purine derived nitriles Jeremy P. Mallari, Wendyam A. Guiguemde, R. Kiplin Guy 3546-3549
|
| Full: PDF (201 K) |
|
Identification of a PPARδ agonist with partial agonistic activity on PPARγ Richard V. Connors, Zhulun Wang, Martin Harrison, Alex Zhang, Malgorzata Wanska, Steve Hiscock, Brian Fox, Michael Dore, Marc Labelle, Athena Sudom, Sheree Johnstone, Jinsong Liu, Nigel P.C. Walker, Anne Chai, Karen Siegler, Yang Li, Peter Coward 3550-3554
|
| Full: PDF (893 K) |
|
Carbamates as potent calcitonin gene-related peptide antagonists with improved solution stability Andrew P. Degnan, Charles M. Conway, Richard A. Dalterio, Robert Macci, Stephen E. Mercer, Richard Schartman, Cen Xu, Gene M. Dubowchik, John E. Macor 3555-3558
|
| Full: PDF (1111 K) |
|
Synthesis, cleavage, and antifungal activity of a number of novel, water-soluble ester prodrugs of antifungal triazole CS-758 Yoshiko Kagoshima, Makoto Mori, Eiko Suzuki, Takahiro Shibayama, Tamako Iida, Yasuki Kamai, Toshiyuki Konosu 3559-3563
|
| Full: PDF (608 K) |
|
Synthesis of novel 3-(1-(1-substituted piperidin-4-yl)-1H-1,2,3-triazol-4-yl)-1,2,4-oxadiazol-5(4H)-one as antifungal agents Jaiprakash N. Sangshetti, Rahul R. Nagawade, Devanand B. Shinde 3564-3567
|
| Full: PDF (209 K) |
|
Identification of 2-aminobenzimidazoles as potent melanin-concentrating hormone 1-receptor (MCH1R) antagonists Minoru Moriya, Hiroyuki Kishino, Shunji Sakuraba, Toshihiro Sakamoto, Takuya Suga, Hidekazu Takahashi, Takao Suzuki, Masahiko Ito, Junko Ito, Ryuichi Moriya, Norihiro Takenaga, Hisashi Iwaasa, Akane Ishihara, Akio Kanatani, Takehiro Fukami 3568-3572
|
| Full: PDF (1361 K) |
|
Synthesis and antibacterial evaluation of isoxazolinyl oxazolidinones: Search for potent antibacterial Vandana Varshney, Nripendra N. Mishra, Praveen K. Shukla, Devi P. Sahu 3573-3576
|
| Full: PDF (248 K) |
|
Serratezomines D and E, new Lycopodium alkaloids from Lycopodium serratum var. serratum Takaaki Kubota, Hiroko Yahata, Sunao Yamamoto, Shigeki Hayashi, Toshiro Shibata, Jun’ichi Kobayashi 3577-3580
|
| Full: PDF (348 K) |
|
Antiviral effect of ribonuclease conjugated oligodeoxynucleotides targeting the IRES RNA of the hepatitis C virus Carly Gamble, Maud Trotard, Jacques Le Seyec, Valérie Abreu-Guerniou, Nicolas Gernigon, Fabienne Berrée, Bertrand Carboni, Brice Felden, Reynald Gillet 3581-3585
|
| Full: PDF (310 K) |
|
The discovery of the potent aurora inhibitor MK-0457 (VX-680) David Bebbington, Hayley Binch, Jean-Damien Charrier, Simon Everitt, Damien Fraysse, Julian Golec, David Kay, Ronald Knegtel, Chau Mak, Francesca Mazzei, Andrew Miller, Michael Mortimore, Michael O’Donnell, Sanjay Patel, Francoise Pierard, Joanne Pinder, John Pollard, Sharn Ramaya, Daniel Robinson, Alistair Rutherford, et al. 3586-3592
|
| Full: PDF (1107 K) |
|
Discovery of novel lipophilic inhibitors of OXA-10 enzyme (class D β-lactamase) by screening amino analogs and homologs of citrate and isocitrate Joséphine Beck, Lionel Vercheval, Carine Bebrone, Adriana Herteg-Fernea, Patricia Lassaux, Jacqueline Marchand-Brynaert 3593-3597
|
| Full: PDF (319 K) |
|
Identification of a novel inhibitor of JAK2 tyrosine kinase by structure-based virtual screening Róbert Kiss, Tímea Polgár, Annet Kirabo, Jacqueline Sayyah, Nicholas C. Figueroa, Alan F. List, Lubomir Sokol, Kenneth S. Zuckerman, Meghanath Gali, Kirpal S. Bisht, Peter P. Sayeski, György M. Keserű 3598-3601
|
| Full: PDF (311 K) |
|
Orally active C-6 heteroaryl- and heterocyclyl-substituted imidazo[1,2-a]pyridine acid pump antagonists (APAs) Nick Bailey, Mark J. Bamford, Delphine Brissy, Joanna Brookfield, Emmanuel Demont, Richard Elliott, Neil Garton, Irene Farre-Gutierrez, Thomas Hayhow, Gail Hutley, Antoinette Naylor, Terry A. Panchal, Hui-Xian Seow, David Spalding, Andrew K. Takle 3602-3606
|
| Full: PDF (309 K) |
|
The regulation of inflammatory cytokine secretion in macrophage cell line by the chemical constituents of Rhus sylvestris Yan Ding, Huu Tung Nguyen, Sung In Kim, Ha Won Kim, Young Ho Kim 3607-3610
|
| Full: PDF (358 K) |
|
Regioselective synthesis and biological evaluation of bis(indolyl)methane derivatized 1,4-disubstituted 1,2,3-bistriazoles as anti-infective agents M. Damodiran, D. Muralidharan, Paramasivan T. Perumal 3611-3614
|
| Full: PDF (622 K) |
|
Exploration of novel thiobarbituric acid-, rhodanine- and thiohydantoin-based HIV-1 integrase inhibitors Suvi Rajamaki, Anna Innitzer, Chiara Falciani, Cristina Tintori, Frauke Christ, Myriam Witvrouw, Zeger Debyser, Silvio Massa, Maurizio Botta 3615-3618
|
| Full: PDF (492 K) |
|
Selection of a DNA aptamer that binds 8-OHdG using GMP-agarose Yusuke Miyachi, Nobuaki Shimizu, Chiaki Ogino, Hideki Fukuda, Akihiko Kondo 3619-3622
|
| Full: PDF (363 K) |
|
Optimization of 5-phenyl-3-pyridinecarbonitriles as PKCθ inhibitors Diane H. Boschelli, Daniel Wang, Amar S. Prashad, Joan Subrath, Biqi Wu, Chuan Niu, Julie Lee, Xiaoke Yang, Agnes Brennan, Divya Chaudhary 3623-3626
|
| Full: PDF (317 K) |
|
Discovery of novel arylpyrazole series as potent and selective opioid receptor-like 1 (ORL1) antagonists Kensuke Kobayashi, Minaho Uchiyama, Hirokatsu Ito, Hirobumi Takahashi, Takashi Yoshizumi, Hiroki Sakoh, Yasushi Nagatomi, Masanori Asai, Hiroshi Miyazoe, Tomohiro Tsujita, Mioko Hirayama, Satoshi Ozaki, Takeshi Tani, Yasuyuki Ishii, Hisashi Ohta, Osamu Okamoto 3627-3631
|
| Full: PDF (257 K) |
|
Structure–activity relationships of heteroaromatic esters as human rhinovirus 3C protease inhibitors Isak Im, Eui Seung Lee, Soo Jeong Choi, Ju-Yeon Lee, Yong-Chul Kim 3632-3636
|
| Full: PDF (504 K) |
|
Non-nucleoside inhibitors of HCV NS5B polymerase. Part 1: Synthetic and computational exploration of the binding modes of benzothiadiazine and 1,4-benzothiazine HCV NS5b polymerase inhibitors Robert T. Hendricks, Jay B. Fell, James F. Blake, John P. Fischer, John E. Robinson, Stacey R. Spencer, Peter J. Stengel, April L. Bernacki, Vincent J.P. Leveque, Sophie Le Pogam, Sonal Rajyaguru, Isabel Najera, John A. Josey, Jason R. Harris, Steven Swallow 3637-3641
|
| Full: PDF (1279 K) |
|
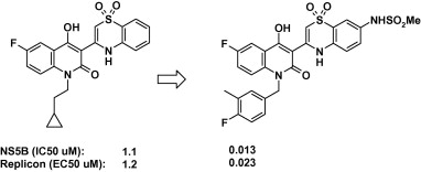
Non-nucleoside inhibitors of HCV polymerase NS5B. Part 2: Synthesis and structure–activity relationships of benzothiazine-substituted quinolinediones Javier de Vicente, Robert T. Hendricks, David B. Smith, Jay B. Fell, John Fischer, Stacey R. Spencer, Peter J. Stengel, Peter Mohr, John E. Robinson, James F. Blake, Ramona K. Hilgenkamp, Calvin Yee, George Adjabeng, Todd R. Elworthy, Jahari Tracy, Elbert Chin, Jim Li, Beihan Wang, Joe T. Bamberg, Rebecca Stephenson, et al. 3642-3646
|
| Full: PDF (773 K) |
|
Nascent structure–activity relationship study of a diastereomeric series of kappa opioid receptor antagonists derived from CJ-15,208 Roland E. Dolle, Mathieu Michaut, Blanca Martinez-Teipel, Pamela R. Seida, Christopher W. Ajello, Alison L. Muller, Robert N. DeHaven, Patrick J. Carroll 3647-3650
|
| Full: PDF (295 K) |
|
Non-isotopic dual parameter competition assay suitable for high-throughput screening of histone deacetylases Daniel Riester, Christian Hildmann, Patricia Haus, Antonia Galetovic, Andreas Schober, Andreas Schwienhorst, Franz-Josef Meyer-Almes 3651-3656
|
| Full: PDF (722 K) |
|
Sequence selective formation of 1,N6-ethenoadenine in DNA by furan-conjugated probe Akio Kobori, Jumpei Morita, Masato Ikeda, Asako Yamayoshi, Akira Murakami 3657-3660
|
| Full: PDF (384 K) |
|
In vitro inhibition of human erythrocyte glutathione reductase by some new organic nitrates Murat Şentürk, Oktay Talaz, Deniz Ekinci, Hüseyin Çavdar, Ömer İrfan Küfrevioğlu 3661-3663
|
| Full: PDF (225 K) |
|
Second generation of BACE-1 inhibitors. Part 1: The need for improved pharmacokinetics Nicolas Charrier, Brian Clarke, Leanne Cutler, Emmanuel Demont, Colin Dingwall, Rachel Dunsdon, Julie Hawkins, Colin Howes, Julia Hubbard, Ishrut Hussain, Graham Maile, Rosalie Matico, Julie Mosley, Alan Naylor, Alistair O’Brien, Sally Redshaw, Paul Rowland, Virginie Soleil, Kathrine J. Smith, Sharon Sweitzer, et al. 3664-3668
|
| Full: PDF (355 K) |
|
Second generation of BACE-1 inhibitors part 2: Optimisation of the non-prime side substituent Nicolas Charrier, Brian Clarke, Emmanuel Demont, Colin Dingwall, Rachel Dunsdon, Julie Hawkins, Julia Hubbard, Ishrut Hussain, Graham Maile, Rosalie Matico, Julie Mosley, Alan Naylor, Alistair O’Brien, Sally Redshaw, Paul Rowland, Virginie Soleil, Kathrine J. Smith, Sharon Sweitzer, Pam Theobald, David Vesey, et al. 3669-3673
|
| Full: PDF (352 K) |
|
Second generation of BACE-1 inhibitors part 3: Towards non hydroxyethylamine transition state mimetics Nicolas Charrier, Brian Clarke, Leanne Cutler, Emmanuel Demont, Colin Dingwall, Rachel Dunsdon, Julie Hawkins, Colin Howes, Julia Hubbard, Ishrut Hussain, Graham Maile, Rosalie Matico, Julie Mosley, Alan Naylor, Alistair O’Brien, Sally Redshaw, Paul Rowland, Virginie Soleil, Kathrine J. Smith, Sharon Sweitzer, et al. 3674-3678
|
| Full: PDF (695 K) |
|
Antimitotic activity of lobaric acid and a new benzofuran, sakisacaulon A from Stereocaulon sasakii Hiroshi Morita, Tomoe Tsuchiya, Koji Kishibe, Sayaka Noya, Motoo Shiro, Yusuke Hirasawa 3679-3681
|
| Full: PDF (370 K) |
|
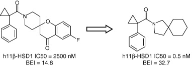
Discovery and structure-guided drug design of inhibitors of 11β-hydroxysteroid-dehydrogenase type I based on a spiro-carboxamide scaffold Franck Lepifre, Serge Christmann-Franck, Didier Roche, Caroline Leriche, Denis Carniato, Christine Charon, Sophie Bozec, Liliane Doare, Fabien Schmidlin, Marc Lecomte, Eric Valeur 3682-3685
|
| Full: PDF (1328 K) |
|
Exploration and optimization of substituted triazolothiadiazines and triazolopyridazines as PDE4 inhibitors Amanda P. Skoumbourdis, Christopher A. LeClair, Eduard Stefan, Adrian G. Turjanski, William Maguire, Steven A. Titus, Ruili Huang, Douglas S. Auld, James Inglese, Christopher P. Austin, Stephen W. Michnick, Menghang Xia, Craig J. Thomas 3686-3692
|
| Full: PDF (577 K) |
|
Corrigendum to “Substrate based peptide aldehyde inhibits bacterial type I signal peptidase” [Bioorg. Med. Chem. Lett. 19 (2009) 2880] Peter Buzder-Lantos, Katrijn Bockstael, Jozef Anné, Piet Herdewijn 3693
|
| Full: PDF (100 K) |
|
Corrigendum to “N-Hydroxy-(4-oxime)-cinnamide: A versatile scaffold for the synthesis of novel histone deacetilase (HDAC) inhibitors” [Bioorg. Med. Chem. Lett. 19 (2009) 2346] Giuseppe Giannini, Mauro Marzi, Riccardo Pezzi, Tiziana Brunetti, Gianfranco Battistuzzi, Maria Di Marzo, Walter Cabri, Loredana Vesci, Claudio Pisano 3694
|
| Full: PDF (158 K) |
|
Erratum to “2-Alkylamino- and alkoxy-substituted 2-amino-1,3,4-oxadiazoles—O-Alkyl benzohydroxamate esters replacements retain the desired inhibition and selectivity against MEK (MAP ERK kinase)” [Bioorg. Med. Chem. Lett. 18 (2008) 6171] Joseph S. Warmus, Cathlin Flamme, Lu Yan Zhang, Stephen Barrett, Alexander Bridges, Huifen Chen, Richard Gowan, Michael Kaufman, Judy Sebolt-Leopold, Wilbur Leopold, Ronald Merriman, Jeffrey Ohren, Alexander Pavlovsky, Sally Przybranowski, Haile Tecle, Heather Valik, Christopher Whitehead, Erli Zhang 3695
|
| Full: PDF (105 K) |
|
Instructions to contributors
I
|
| Full: PDF (42 K) |
|
|
|