Editorial board
IFC
|
| Full: PDF (37 K) |
|
Graphical contents list
5275-5288
|
| Full: PDF (1944 K) |
|
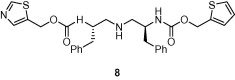
Pyrrole[2,3-d]azepino compounds as agonists of the farnesoid X receptor (FXR) John F. Mehlmann, Matthew L. Crawley, Joseph T. Lundquist IV, Ray J. Unwalla, Douglas C. Harnish, Mark J. Evans, Callain Y. Kim, Jay E. Wrobel, Paige E. Mahaney 5289-5292
|
| Full: PDF (322 K) |
|
Highly hydroxylated or γ-cyclodextrin-bicapped water-soluble derivative of fullerene: The antioxidant ability assessed by electron spin resonance method and β-carotene bleaching assay Shinya Kato, Hisae Aoshima, Yasukazu Saitoh, Nobuhiko Miwa 5293-5296
|
| Full: PDF (483 K) |
|
NO-NSAIDs: Gastric-sparing nitric oxide-releasable prodrugs of non-steroidal anti-inflammatory drugs Kumar V.S. Nemmani, Sunil V. Mali, Namdev Borhade, Asif R. Pathan, Manoj Karwa, Venu Pamidiboina, S.P. Senthilkumar, Machhindra Gund, Arun K. Jain, Naveen K. Mangu, Nauzer P. Dubash, Dattatraya C. Desai, Somesh Sharma, Apparao Satyam 5297-5301
|
| Full: PDF (559 K) |
|
5-(2-Pyrimidinyl)-imidazo[1,2-a]pyridines are antibacterial agents targeting the ATPase domains of DNA gyrase and topoisomerase IV Jeremy T. Starr, Richard J. Sciotti, Debra L. Hanna, Michael D. Huband, Lisa M. Mullins, Hongliang Cai, Jeffrey W. Gage, Mandy Lockard, Mark R. Rauckhorst, Robert M. Owen, Manjinder S. Lall, Mark Tomilo, Huifen Chen, Sandra P. McCurdy, Michael R. Barbachyn 5302-5306
|
| Full: PDF (301 K) |
|
Molecular basis for cis-urocanic acid as a 5-HT2A receptor agonist Liang Shen, Hong-Fang Ji 5307-5309
|
| Full: PDF (679 K) |
|
Discovery and biological profile of isoindolinone derivatives as novel metabotropic glutamate receptor 1 antagonists: A potential treatment for psychotic disorders Satoru Ito, Yukari Hirata, Yasushi Nagatomi, Atsushi Satoh, Gentaroh Suzuki, Toshifumi Kimura, Akio Satow, Shunsuke Maehara, Hirohiko Hikichi, Mikiko Hata, Hisashi Ohta, Hiroshi Kawamoto 5310-5313
|
| Full: PDF (334 K) |
|
Discovery of 3,3-disubstituted piperidine-derived trisubstituted ureas as highly potent soluble epoxide hydrolase inhibitors Hong C. Shen, Fa-Xiang Ding, Qiaolin Deng, Suoyu Xu, Hsuan-shen Chen, Xinchun Tong, Vincent Tong, Xiaoping Zhang, Yuli Chen, Gaochao Zhou, Lee-Yuh Pai, Magdalena Alonso-Galicia, Bei Zhang, Sophie Roy, James R. Tata, Joel P. Berger, Steven L. Colletti 5314-5320
|
| Full: PDF (2272 K) |
|
Improving potency and selectivity of a new class of non-Zn-chelating MMP-13 inhibitors Alexander Heim-Riether, Steven J. Taylor, Shuang Liang, Donghong Amy Gao, Zhaoming Xiong, E. Michael August, Brandon K. Collins, Bennett T. Farmer II, Kathleen Haverty, Melissa Hill-Drzewi, Hans-Dieter Junker, S. Mariana Margarit, Neil Moss, Thomas Neumann, John R. Proudfoot, Lana Smith Keenan, Renate Sekul, Qiang Zhang, Jun Li, Neil A. Farrow 5321-5324
|
| Full: PDF (561 K) |
|
Synthesis of novel pyrazole carboxamide derivatives and discovery of modulators for apoptosis or autophagy in A549 lung cancer cells Xiao-Ling Ding, Hai-Yan Zhang, Lei Qi, Bao-Xiang Zhao, Song Lian, Hong-Shui Lv, Jun-Ying Miao 5325-5328
|
| Full: PDF (802 K) |
|
Discovery of a novel class of isoxazoline voltage gated sodium channel blockers Pengcheng P. Shao, Feng Ye, Ann E. Weber, Xiaohua Li, Kathryn A. Lyons, William H. Parsons, Maria L. Garcia, Birgit T. Priest, McHardy M. Smith, John P. Felix, Brande S. Williams, Gregory J. Kaczorowski, Erin McGowan, Catherine Abbadie, William J. Martin, Daniel R. McMasters, Ying-Duo Gao 5329-5333
|
| Full: PDF (1808 K) |
|
Discovery of isoxazole voltage gated sodium channel blockers for treatment of chronic pain Pengcheng P. Shao, Feng Ye, Ann E. Weber, Xiaohua Li, Kathryn A. Lyons, William H. Parsons, Maria L. Garcia, Birgit T. Priest, McHardy M. Smith, John P. Felix, Brande S. Williams, Gregory J. Kaczorowski, Erin McGowan, Catherine Abbadie, William J. Martin, Daniel R. McMasters, Ying-Duo Gao 5334-5338
|
| Full: PDF (990 K) |
|
Discovery of novel diarylketoxime derivatives as selective and orally active melanin-concentrating hormone 1 receptor antagonists Takao Suzuki, Minoru Kameda, Makoto Ando, Hiroshi Miyazoe, Etsuko Sekino, Satoru Ito, Kouta Masutani, Kaori Kamijo, Akihiro Takezawa, Minoru Moriya, Masahiko Ito, Junko Ito, Kazuho Nakase, Hiroko Matsushita, Akane Ishihara, Norihiro Takenaga, Shigeru Tokita, Akio Kanatani, Nagaaki Sato, Takehiro Fukami 5339-5345
|
| Full: PDF (477 K) |
|
Design and synthesis of piperazinylpyrimidinones as novel selective 5-HT2C agonists Mark D. Andrews, Martin P. Green, Charlotte M.N. Allerton, David V. Batchelor, Julian Blagg, Alan D. Brown, David W. Gordon, Gordon McMurray, Daniel J. Millns, Carly L. Nichols, Lesa Watson 5346-5350
|
| Full: PDF (496 K) |
|
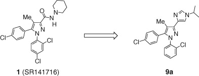
Bioisosteric replacement of the hydrazide pharmacophore of the cannabinoid-1 receptor antagonist SR141716A. Part I: Potent, orally-active 1,4-disubstituted imidazoles Robert L. Dow, John R. Hadcock, Dennis O. Scott, Steven R. Schneider, Ernest S. Paight, Philip A. Iredale, Philip A. Carpino, David A. Griffith, Marlys Hammond, Paul DaSilva-Jardine 5351-5354
|
| Full: PDF (364 K) |
|
Spiro-naphthyridinone piperidines as inhibitors of S. aureus and E. coli enoyl-ACP reductase (FabI) Peter B. Sampson, Christine Picard, Sean Handerson, Teresa E. McGrath, Megan Domagala, Andrew Leeson, Vladimir Romanov, Donald E. Awrey, Dhushy Thambipillai, Elias Bardouniotis, Nachum Kaplan, Judd M. Berman, Henry W. Pauls 5355-5358
|
| Full: PDF (481 K) |
|
2,3,4,5-Tetrahydro-1H-pyrido[2,3-b and e][1,4]diazepines as inhibitors of the bacterial enoyl ACP reductase, FabI Jailall Ramnauth, Mathew D. Surman, Peter B. Sampson, Bryan Forrest, Jeff Wilson, Emily Freeman, David D. Manning, Fernando Martin, Andras Toro, Megan Domagala, Donald E. Awrey, Elias Bardouniotis, Nachum Kaplan, Judd Berman, Henry W. Pauls 5359-5362
|
| Full: PDF (458 K) |
|
Discovery of 4H-pyrazolo[1,5-a]pyrimidin-7-ones as potent inhibitors of hepatitis C virus polymerase Yongqi Deng, Gerald W. Shipps Jr., Tong Wang, Janeta Popovici-Muller, Kristin E. Rosner, M. Arshad Siddiqui, Jose Duca, Alan B. Cooper, Michael Cable 5363-5367
|
| Full: PDF (2659 K) |
|
Photoregulation of thrombin aptamer activity using Bhc caging strategy YiMing Li, Jing Shi, ZhaoFeng Luo, Hao Jiang, XiaoYun Chen, FengLiang Wang, Xu Wu, QingXiang Guo 5368-5371
|
| Full: PDF (338 K) |
|
Synthesis of novel [1,2]-diamines with antituberculosis activity Qingyi Meng, Huibing Luo, Yilang Chen, Tiancai Wang, Qizheng Yao 5372-5375
|
| Full: PDF (404 K) |
|
A novel class of highly potent multidrug resistance reversal agents: Disubstituted adamantyl derivatives Kyung Hoon Min, Yan Xia, Eun Kyung Kim, Yinglan Jin, Navneet Kaur, Eun Seon Kim, Dae Kyong Kim, Hwa Young Jung, Yongseok Choi, Mi-Kyung Park, Yong Ki Min, Kiho Lee, Kyeong Lee 5376-5379
|
| Full: PDF (247 K) |
|
Unusual intramolecular N→O acyl group migration occurring during conjugation of (−)-DHMEQ with cysteine Ikuko Kozawa, Kuniki Kato, Toshiaki Teruya, Kiyotake Suenaga, Kazuo Umezawa 5380-5382
|
| Full: PDF (463 K) |
|
Efficient synthesis of (±)-parasitenone, a novel inhibitor of NF-κB Tsuyoshi Saitoh, Eriko Suzuki, Arisa Takasugi, Rika Obata, Yuichi Ishikawa, Kazuo Umezawa, Shigeru Nishiyama 5383-5386
|
| Full: PDF (480 K) |
|
Molecular modeling studies to predict the possible binding modes of endomorphin analogs in μ opioid receptor Xin Liu, Ming Kai, Lian Jin, Rui Wang 5387-5391
|
| Full: PDF (542 K) |
|
Design and synthesis of dipeptidyl nitriles as potent, selective, and reversible inhibitors of cathepsin C Daniel Guay, Christian Beaulieu, T. Jagadeeswar Reddy, Robert Zamboni, Nathalie Methot, Joel Rubin, Diane Ethier, M. David Percival 5392-5396
|
| Full: PDF (800 K) |
|
Synthesis of 2α-substituted-14-epi-previtamin D3 and its genomic activity Daisuke Sawada, Tomoyuki Katayama, Yuya Tsukuda, Nozomi Saito, Masashi Takano, Hiroshi Saito, Ken-ichiro Takagi, Eiji Ochiai, Seiichi Ishizuka, Kazuya Takenouchi, Atsushi Kittaka 5397-5400
|
| Full: PDF (264 K) |
|
Spiropiperidine CCR5 antagonists David M. Rotstein, Stephen D. Gabriel, Ferenc Makra, Lubov Filonova, Shelley Gleason, Christine Brotherton-Pleiss, Lina Q. Setti, Alejandra Trejo-Martin, Eun Kyung Lee, Surya Sankuratri, Changhua Ji, Andre deRosier, Marianna Dioszegi, Gabrielle Heilek, Andreas Jekle, Pamela Berry, Paul Weller, Cheng-I. Mau 5401-5406
|
| Full: PDF (2850 K) |
|
Water-soluble phosphate prodrugs of pleuromutilin analogues with potent in vivo antibacterial activity against Gram-positive pathogens Liqiang Fu, Zhiteng Jiang, Zhan cai, Xin Liu, Huili He, Yushe Yang 5407-5410
|
| Full: PDF (344 K) |
|
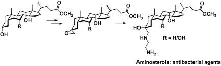
Design and synthesis of bile acid-based amino sterols as antimicrobial agents Nilkanth G. Aher, Vandana S. Pore, Nripendra N. Mishra, Praveen K. Shukla, Rajesh G. Gonnade 5411-5414
|
| Full: PDF (304 K) |
|
Natural products-based insecticidal agents 4. Semisynthesis and insecticidal activity of novel esters of 2-chloropodophyllotoxin against Mythimna separata Walker in vivo Hui Xu, Xiao Xiao 5415-5418
|
| Full: PDF (519 K) |
|
Prenyloxyphenylpropanoids as a novel class of anticonvulsive agents Salvatore Genovese, Francesco Epifano, Massimo Curini, Monika Dudra-Jastrzebska, Jarogniew J. Luszczki 5419-5422
|
| Full: PDF (306 K) |
|
C-5 Substituted heteroaryl 3-pyridinecarbonitriles as PKCθ inhibitors: Part I Joan Subrath, Daniel Wang, Biqi Wu, Chuansheng Niu, Diane H. Boschelli, Julie Lee, Xiaoke Yang, Agnes Brennan, Divya Chaudhary 5423-5425
|
| Full: PDF (289 K) |
|
Direct labelling of peptides with 2-[18F]fluoro-2-deoxy-d-glucose ([18F]FDG) Frank Wuest, Christina Hultsch, Mathias Berndt, Ralf Bergmann 5426-5428
|
| Full: PDF (204 K) |
|
From natural products to achiral drug prototypes: Potent thrombin inhibitors based on P2/P3 dihydropyrid-2-one core motifs Stephen Hanessian, Eric Therrien, Jianbin Zhang, Willem van Otterlo, Yafeng Xue, David Gustafsson, Ingemar Nilsson, Ola Fjellström 5429-5432
|
| Full: PDF (346 K) |
|
Substrate specificity of N-acetylhexosamine kinase towards N-acetylgalactosamine derivatives Li Cai, Wanyi Guan, Wenjun Wang, Wei Zhao, Motomitsu Kitaoka, Jie Shen, Crystal O’Neil, Peng George Wang 5433-5435
|
| Full: PDF (404 K) |
|
Identification of positron emission tomography ligands for NPY Y5 receptors in the brain Hirobumi Takahashi, Yuji Haga, Takunobu Shibata, Katsumasa Nonoshita, Toshihiro Sakamoto, Minoru Moriya, Tomoyuki Ohe, Masato Chiba, Yuko Mitobe, Hidefumi Kitazawa, Hisashi Iwaasa, Akane Ishihara, Yasuyuki Ishii, Akio Kanatani, Takehiro Fukami 5436-5439
|
| Full: PDF (315 K) |
|
Disubstituted pyrimidines as Lck inhibitors Julianne A. Hunt, Richard T. Beresis, Joung L. Goulet, Mark A. Holmes, Xinfang J. Hong, Ernest Kovacs, Sander G. Mills, Rowena D. Ruzek, Frederick Wong, Jeffrey D. Hermes, Young-Whan Park, Scott P. Salowe, Lisa M. Sonatore, Lin Wu, Andrea Woods, Dennis M. Zaller, Peter J. Sinclair 5440-5443
|
| Full: PDF (461 K) |
|
Synthesis and evaluation of inhibitors of cytochrome P450 3A (CYP3A) for pharmacokinetic enhancement of drugs Charles A. Flentge, John T. Randolph, Peggy P. Huang, Larry L. Klein, Kennan C. Marsh, John E. Harlan, Dale J. Kempf 5444-5448
|
| Full: PDF (344 K) |
|
Positional effects of monofluorinated phenylalanines on histone acetyltransferase stability and activity Natalya Voloshchuk, Anita Y. Zhu, David Snydacker, Jin Kim Montclare 5449-5451
|
| Full: PDF (379 K) |
|
Addressing the malaria drug resistance challenge using flow cytometry to discover new antimalarials Brian T. Grimberg, Maria M. Jaworska, Lindsay B. Hough, Peter A. Zimmerman, James G. Phillips 5452-5457
|
| Full: PDF (248 K) |
|
Synthesis and biological evaluation of quinic acid derivatives as anti-inflammatory agents Kui Zeng, Karin Emmons Thompson, Charles R. Yates, Duane D. Miller 5458-5460
|
| Full: PDF (244 K) |
|
Synthesis of novel ageladine A analogs showing more potent matrix metalloproteinase (MMP)-12 inhibitory activity than the natural product Naoki Ando, Shiro Terashima 5461-5463
|
| Full: PDF (565 K) |
|
Discovery and in vitro and in vivo profiles of 4-fluoro-N-[4-[6-(isopropylamino)pyrimidin-4-yl]-1,3-thiazol-2-yl]-N-methylbenzamide as novel class of an orally active metabotropic glutamate receptor 1 (mGluR1) antagonist Atsushi Satoh, Yasushi Nagatomi, Yukari Hirata, Satoru Ito, Gentaroh Suzuki, Toshifumi Kimura, Shunsuke Maehara, Hirohiko Hikichi, Akio Satow, Mikiko Hata, Hisashi Ohta, Hiroshi Kawamoto 5464-5468
|
| Full: PDF (403 K) |
|
Dihydropyrazolopyrimidines containing benzimidazoles as KV1.5 potassium channel antagonists John Lloyd, Heather J. Finlay, Karnail Atwal, Alexander Kover, Joseph Prol, Lin Yan, Rao Bhandaru, Wayne Vaccaro, Tram Huynh, Christine S. Huang, MaryLee Conder, Tonya Jenkins-West, Huabin Sun, Danshi Li, Paul Levesque 5469-5473
|
| Full: PDF (555 K) |
|
Design and synthesis of novel substituted quinazoline derivatives as antileishmanial agents K.C. Agarwal, Vidisha Sharma, Nishi Shakya, Suman Gupta 5474-5477
|
| Full: PDF (909 K) |
|
Antimicrobial dendrimer active against Escherichia coli biofilms Shuyu Hou, Chunhui Zhou, Zhigang Liu, Anne W. Young, Zhengshuang Shi, Dacheng Ren, Neville R. Kallenbach 5478-5481
|
| Full: PDF (545 K) |
|
Discovery of diarylpyridine derivatives as novel non-nucleoside HIV-1 reverse transcriptase inhibitors Xingtao Tian, Bingjie Qin, Hong Lu, Weihong Lai, Shibo Jiang, Kuo-Hsiung Lee, Chin Ho Chen, Lan Xie 5482-5485
|
| Full: PDF (303 K) |
|
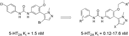
Solubilized phenyl-pyrazole ureas as potent, selective 5-HT2A inverse-agonists and their application as antiplatelet agents Peter I. Dosa, Sonja Strah-Pleynet, Honnappa Jayakumar, Martin Casper, Marc Decaire, Yifeng Xiong, Juerg Lehmann, Karoline Choi, Katie Elwell, Amy Wong, Robert R. Webb, John W. Adams, Juan Ramirez, Jeremy G. Richman, William Thomsen, Graeme Semple, Bradley R. Teegarden 5486-5489
|
| Full: PDF (302 K) |
|
Chemical methods for the synthesis and modification of neoclerodane diterpenes Anthony Lozama, Thomas E. Prisinzano 5490-5495
|
| Full: PDF (600 K) |
|
Synthesis of gibberellin derivatives with anti-tumor bioactivities Jingbo Chen, Zhuxian Sun, Yanli Zhang, Xianghui Zeng, Chen Qing, Jianping Liu, Liang Li, Hongbin Zhang 5496-5499
|
| Full: PDF (344 K) |
|
New Ras CAAX mimetics: Design, synthesis, antiproliferative activity, and RAS prenylation inhibition Cristiano Bolchi, Marco Pallavicini, Laura Fumagalli, Nicola Ferri, Alberto Corsini, Chiara Rusconi, Ermanno Valoti 5500-5504
|
| Full: PDF (599 K) |
|
Design and synthesis of new stabilized combi-triazenes for targeting solid tumors expressing the epidermal growth factor receptor (EGFR) or its closest homologue HER2 Zakaria Rachid, Meaghan MacPhee, Christopher Williams, Margarita Todorova, Bertrand Jacques Jean-Claude 5505-5509
|
| Full: PDF (452 K) |
|
Instructions to contributors
I
|
| Full: PDF (41 K) |
|
|
|