Editorial board
IFC
|
| Full: PDF (37 K) |
|
Graphical contents list
285-300
|
| Full: PDF (804 K) |
|
Synthesis and structure–activity relationships of 2-phenyl-1-[(pyridinyl- and piperidinylmethyl)amino]-3-(1H-1,2,4-triazol-1-yl)propan-2-ols as antifungal agents Francis Giraud, Rémi Guillon, Cédric Logé, Fabrice Pagniez, Carine Picot, Marc Le Borgne, Patrice Le Pape 301-304
|
| Full: PDF (268 K) |
|
Discovery of novel thieno[2,3-d]pyrimidin-4-yl hydrazone-based inhibitors of Cyclin D1-CDK4: Synthesis, biological evaluation, and structure–activity relationships Takao Horiuchi, Jun Chiba, Kouichi Uoto, Tsunehiko Soga 305-308
|
| Full: PDF (181 K) |
|
CB2 selective sulfamoyl benzamides: Optimization of the amide functionality Allan J. Goodman, Christopher W. Ajello, Karin Worm, Bertrand Le Bourdonnec, Markku A. Savolainen, Heather O’Hare, Joel A. Cassel, Gabriel J. Stabley, Robert N. DeHaven, Christopher J. LaBuda, Michael Koblish, Patrick J. Little, Bernice L. Brogdon, Steven A. Smith, Roland E. Dolle 309-313
|
| Full: PDF (493 K) |
|
CoMFA and CoMSIA 3D-QSAR studies on S6-(4-nitrobenzyl)mercaptopurine riboside (NBMPR) analogs as inhibitors of human equilibrative nucleoside transporter 1 (hENT1) Amol Gupte, John K. Buolamwini 314-318
|
| Full: PDF (328 K) |
|
Synthesis and evaluation of pyrido-thieno-pyrimidines as potent and selective Cdc7 kinase inhibitors Chunlin Zhao, Christian Tovar, Xuefeng Yin, Qui Xu, Ivan T. Todorov, Lyubomir T. Vassilev, Li Chen 319-323
|
| Full: PDF (183 K) |
|
Aryloxy cyclohexyl imidazoles: A novel class of antileishmanial agents Nagarapu Srinivas, Shraddha Palne, Nishi, Suman Gupta, Kalpana Bhandari 324-327
|
| Full: PDF (175 K) |
|
Identification and structure–activity relationships of ortho-biphenyl carboxamides as potent Smoothened antagonists inhibiting the Hedgehog signaling pathway Stefan Peukert, Rishi K. Jain, Adrian Geisser, Yingchuan Sun, Rui Zhang, Aaron Bourret, Adam Carlson, Jennifer DaSilva, Arun Ramamurthy, Joseph F. Kelleher 328-331
|
| Full: PDF (161 K) |
|
1,3,4-Oxadiazoline derivatives as novel potential inhibitors targeting chitin biosynthesis: Design, synthesis and biological evaluation Shaoyong Ke, Fengyi Liu, Ni Wang, Qing Yang, Xuhong Qian 332-335
|
| Full: PDF (477 K) |
|
Sulfamides as novel histone deacetylase inhibitors Amal Wahhab, David Smil, Alain Ajamian, Martin Allan, Yves Chantigny, Eric Therrien, Natalie Nguyen, Sukhdev Manku, Silvana Leit, Jubrail Rahil, Andrea J. Petschner, Ai-Hua Lu, Alina Nicolescu, Sylvain Lefebvre, Samuel Montcalm, Marielle Fournel, Theresa P. Yan, Zuomei Li, Jeffrey M. Besterman, Robert Déziel 336-340
|
| Full: PDF (211 K) |
|
Synthesis and evaluation of a novel series of pseudo-cinnamic derivatives as antituberculosis agents Georges Koumba Yoya, Florence Bedos-Belval, Patricia Constant, Hubert Duran, Mamadou Daffé, Michel Baltas 341-343
|
| Full: PDF (178 K) |
|
Dicarboxylic acid esters as transdermal permeation enhancers: Effects of chain number and geometric isomers Michal Novotný, Alexandr Hrabálek, Barbora Janůšová, Jakub Novotný, Kateřina Vávrová 344-347
|
| Full: PDF (312 K) |
|
Salicylanilide esters of N-protected amino acids as novel antimicrobial agents Aleš Imramovský, Jarmila Vinšová, Juana Monreal Férriz, Vladimír Buchta, Josef Jampílek 348-351
|
| Full: PDF (175 K) |
|
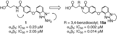
Synthesis and initial evaluation of novel, non-peptidic antagonists of the αv-integrins αvβ3 and αvβ5 Jeffrey J. Letourneau, Jinqi Liu, Michael H.J. Ohlmeyer, Chris Riviello, Yajing Rong, Hong Li, Kenneth C. Appell, Shalini Bansal, Biji Jacob, Angela Wong, Maria L. Webb 352-355
|
| Full: PDF (179 K) |
|
Facile synthesis and biological evaluation of a cell-permeable probe to detect redox-regulated proteins Young Ho Seo, Kate S. Carroll 356-359
|
| Full: PDF (285 K) |
|
Optimization of 4,6-bis-anilino-1H-pyrrolo[2,3-d]pyrimidine IGF-1R tyrosine kinase inhibitors towards JNK selectivity Stanley D. Chamberlain, Anikó M. Redman, Joseph W. Wilson, Felix Deanda, J. Brad Shotwell, Roseanne Gerding, Huangshu Lei, Bin Yang, Kirk L. Stevens, Anne M. Hassell, Lisa M. Shewchuk, M. Anthony Leesnitzer, Jeffery L. Smith, Peter Sabbatini, Charity Atkins, Arthur Groy, Jason L. Rowand, Rakesh Kumar, Robert A. Mook Jr., Ganesh Moorthy, et al. 360-364
|
| Full: PDF (347 K) |
|
Redefining the structure–activity relationships of 2,6-methano-3-benzazocines. Part 7: Syntheses and opioid receptor properties of cyclic variants of cyclazocine Mark P. Wentland, Qun Lu, Rakesh Ganorkar, Shao-Zhong Zhang, Sunjin Jo, Dana J. Cohen, Jean M. Bidlack 365-368
|
| Full: PDF (172 K) |
|
Synthesis and evaluation of alkoxy-phenylamides and alkoxy-phenylimidazoles as potent sphingosine-1-phosphate receptor subtype-1 agonists Ghotas Evindar, Sylvie G. Bernier, Malcolm J. Kavarana, Elisabeth Doyle, Jeanine Lorusso, Michael S. Kelley, Keith Halley, Amy Hutchings, Albion D. Wright, Ashis K. Saha, Gerhard Hannig, Barry A. Morgan, William F. Westlin 369-372
|
| Full: PDF (168 K) |
|
Optimization of a series of 4,6-bis-anilino-1H-pyrrolo[2,3-d]pyrimidine inhibitors of IGF-1R: Elimination of an acid-mediated decomposition pathway Stanley D. Chamberlain, Anikó M. Redman, Samarjit Patnaik, Keith Brickhouse, Yen-Chiat Chew, Felix Deanda, Roseanne Gerding, Huangshu Lei, Ganesh Moorthy, Mark Patrick, Kirk L. Stevens, Joseph W. Wilson, J. Brad Shotwell 373-377
|
| Full: PDF (206 K) |
|
Synthesis of 2-amino-5-benzoyl-4-(2-furyl)thiazoles as adenosine A2A receptor antagonists Andrew G. Cole, Tara M. Stauffer, Laura L. Rokosz, Axel Metzger, Lawrence W. Dillard, Wenguang Zeng, Ian Henderson 378-381
|
| Full: PDF (197 K) |
|
Synthesis of 10-substituted triazolyl artemisinins possessing anticancer activity via Huisgen 1,3-dipolar cylcoaddition Sungsik Cho, Sangtae Oh, Yumi Um, Ji-Hee Jung, Jungyeob Ham, Woon-Seob Shin, Seokjoon Lee 382-385
|
| Full: PDF (164 K) |
|
Syntheses and evaluation of glucosyl aryl thiosemicarbazide and glucosyl thiosemicarbazone derivatives as antioxidant and anti-dyslipidemic agents Samir Ghosh, Anup Kumar Misra, Gitika Bhatia, M.M. Khan, A.K. Khanna 386-389
|
| Full: PDF (162 K) |
|
A novel sesquiterpene quinone from Hainan sponge Dysidea villosa Yan Li, Yu Zhang, Xu Shen, Yue-Wei Guo 390-392
|
| Full: PDF (163 K) |
|
Combining 3D-QSAR, docking, molecular dynamics and MM/PBSA methods to predict binding modes for nonsteroidal selective modulator to glucocorticoid receptor Yong Xu, Tao Zhang, Minbo Chen 393-396
|
| Full: PDF (753 K) |
|
Discovery of a novel series of quinoxalines as inhibitors of c-Met kinase John Porter, Simon Lumb, Fabien Lecomte, James Reuberson, Anne Foley, Mark Calmiano, Kelly le Riche, Helen Edwards, Jean Delgado, Richard J. Franklin, Jose M. Gascon-Simorte, Alison Maloney, Christoph Meier, Mark Batchelor 397-400
|
| Full: PDF (216 K) |
|
Synthesis and evaluation of 2-pyridyl pyrimidines with in vitro antiplasmodial and antileishmanial activity Chitalu C. Musonda, Gavin A. Whitlock, Michael J. Witty, Reto Brun, Marcel Kaiser 401-405
|
| Full: PDF (312 K) |
|
Design and synthesis of N-methylmaleimide indolocarbazole bearing modified 2-acetamino acid moieties as Topoisomerase I inhibitors Zhiyu Li, Fuming Zhai, Li Zhao, Qinglong Guo, Qidong You 406-409
|
| Full: PDF (304 K) |
|
3-Hydroxyisoquinolines as inhibitors of HCV NS5b RNA-dependent RNA polymerase Robert T. Hendricks, Stacey R. Spencer, James F. Blake, Jay B. Fell, John P. Fischer, Peter J. Stengel, Vincent J.P. Leveque, Sophie LePogam, Sonal Rajyaguru, Isabel Najera, John A. Josey, Steven Swallow 410-414
|
| Full: PDF (524 K) |
|
Microwave-assisted one step synthesis of 8-arylmethyl-9H-purin-6-amines Hui Tao, Yanlong Kang, Tony Taldone, Gabriela Chiosis 415-417
|
| Full: PDF (245 K) |
|
Novel non-active site inhibitor of Cryptosporidium hominis TS-DHFR identified by a virtual screen W. Edward Martucci, Marina Udier-Blagovic, Chloe Atreya, Oladapo Babatunde, Melissa A. Vargo, William L. Jorgensen, Karen S. Anderson 418-423
|
| Full: PDF (492 K) |
|
Pyridyl-pyrimidine benzimidazole derivatives as potent, selective, and orally bioavailable inhibitors of Tie-2 kinase Victor J. Cee, Alan C. Cheng, Karina Romero, Steve Bellon, Christopher Mohr, Douglas A. Whittington, Annette Bak, James Bready, Sean Caenepeel, Angela Coxon, Holly L. Deak, Jenne Fretland, Yan Gu, Brian L. Hodous, Xin Huang, Joseph L. Kim, Jasmine Lin, Alexander M. Long, Hanh Nguyen, Philip R. Olivieri, et al. 424-427
|
| Full: PDF (289 K) |
|
Studies on a series of potent, orally bioavailable, 5-HT1 receptor ligands—Part II Simon E. Ward, Peter Eddershaw, Sean T. Flynn, Laurie Gordon, Peter J. Lovell, Susan H. Moore, Claire M. Scott, Paul W. Smith, Kevin M. Thewlis, Paul A. Wyman 428-432
|
| Full: PDF (194 K) |
|
Conformationally constrained opioid ligands: The Dmt-Aba and Dmt-Aia versus Dmt-Tic scaffold Steven Ballet, Debby Feytens, Rien De Wachter, Magali De Vlaeminck, Ewa D. Marczak, Severo Salvadori, Chris de Graaf, Didier Rognan, Lucia Negri, Roberta Lattanzi, Lawrence H. Lazarus, Dirk Tourwé, Gianfranco Balboni 433-437
|
| Full: PDF (655 K) |
|
Synthesis of novel twin drug consisting of 8-oxaendoethanotetrahydromorphides with a 1,4-dioxane spacer and its pharmacological activities: μ, κ, and putative ε opioid receptor antagonists Hideaki Fujii, Akio Watanabe, Toru Nemoto, Minoru Narita, Kan Miyoshi, Atsushi Nakamura, Tsutomu Suzuki, Hiroshi Nagase 438-441
|
| Full: PDF (327 K) |
|
Synthesis and biological evaluation of N-mercaptoacylcysteine derivatives as leukotriene A4 hydrolase inhibitors Hiroshi Enomoto, Yuko Morikawa, Yurika Miyake, Fumio Tsuji, Maki Mizuchi, Hiroshi Suhara, Ken-ichi Fujimura, Masato Horiuchi, Masakazu Ban 442-446
|
| Full: PDF (220 K) |
|
Synthesis of novel di- and tricationic carbapenems with potent anti-MRSA activity Takahisa Maruyama, Yasuo Yamamoto, Yuko Kano, Mizuyo Kurazono, Eiki Shitara, Katsuyoshi Iwamatsu, Kunio Atsumi 447-450
|
| Full: PDF (539 K) |
|
5,6-Dihydro-1H-pyridin-2-ones as potent inhibitors of HCV NS5B polymerase Frank Ruebsam, Chinh V. Tran, Lian-Sheng Li, Sun Hee Kim, Alan X. Xiang, Yuefen Zhou, Julie K. Blazel, Zhongxiang Sun, Peter S. Dragovich, Jingjing Zhao, Helen M. McGuire, Douglas E. Murphy, Martin T. Tran, Nebojsa Stankovic, David A. Ellis, Alberto Gobbi, Richard E. Showalter, Stephen E. Webber, Amit M. Shah, Mei Tsan, et al. 451-458
|
| Full: PDF (264 K) |
|
Synthesis and evaluation of dithiolethiones as novel cyclooxygenase inhibitors Shannon D. Zanatta, David T. Manallack, Bevyn Jarrott, Spencer J. Williams 459-461
|
| Full: PDF (226 K) |
|
Highly efficacious factor Xa inhibitors containing α-substituted phenylcycloalkyl P4 moieties Jennifer X. Qiao, Sarah R. King, Kan He, Pancras C. Wong, Alan R. Rendina, Joseph M. Luettgen, Baomin Xin, Robert M. Knabb, Ruth R. Wexler, Patrick Y.S. Lam 462-468
|
| Full: PDF (206 K) |
|
Discovery of 4,6-bis-anilino-1H-pyrrolo[2,3-d]pyrimidines: Potent inhibitors of the IGF-1R receptor tyrosine kinase Stanley D. Chamberlain, Joseph W. Wilson, Felix Deanda, Samarjit Patnaik, Anikó M. Redman, Bin Yang, Lisa Shewchuk, Peter Sabbatini, M. Anthony Leesnitzer, Arthur Groy, Charity Atkins, Roseanne Gerding, Anne M. Hassell, Huangshu Lei, Robert A. Mook Jr., Ganesh Moorthy, Jason L. Rowand, Kirk L. Stevens, Rakesh Kumar, J. Brad Shotwell 469-473
|
| Full: PDF (273 K) |
|
Synthesis of H-bonding probes of α7 nAChR agonist selectivity Jingyi Wang, Roger L. Papke, Nicole A. Horenstein 474-476
|
| Full: PDF (309 K) |
|
Aryl sulfamates are broad spectrum inactivators of sulfatases: Effects on sulfatases from various sources Pavla Bojarová, Spencer J. Williams 477-480
|
| Full: PDF (196 K) |
|
Chloroquine–astemizole hybrids with potent in vitro and in vivo antiplasmodial activity Chitalu C. Musonda, Gavin A. Whitlock, Michael J. Witty, Reto Brun, Marcel Kaiser 481-484
|
| Full: PDF (146 K) |
|
Tethered indoles as functionalizable ligands for the estrogen receptor Bridget G. Trogden, Sung Hoon Kim, Shuyi Lee, John A. Katzenellenbogen 485-488
|
| Full: PDF (408 K) |
|
Novel non-carboxylic acid retinoids: 1,2,4-Oxadiazol-5-one derivatives Julie Charton, Rebecca Deprez-Poulain, Nathalie Hennuyer, Anne Tailleux, Bart Staels, Benoit Deprez 489-492
|
| Full: PDF (182 K) |
|
Antimitotic activity of two macrocyclic bis(bibenzyls), isoplagiochins A and B from the Liverwort Plagiochila fruticosa Hiroshi Morita, Yuichiro Tomizawa, Tomoe Tsuchiya, Yusuke Hirasawa, Toshihiro Hashimoto, Yoshinori Asakawa 493-496
|
| Full: PDF (381 K) |
|
Discovery of GSK345931A: An EP1 receptor antagonist with efficacy in preclinical models of inflammatory pain Adrian Hall, Susan H. Brown, Christopher Budd, Nicholas M. Clayton, Gerard M.P. Giblin, Paul Goldsmith, Thomas G. Hayhow, David N. Hurst, Alan Naylor, D. Anthony Rawlings, Tiziana Scoccitti, Alexander W. Wilson, Wendy J. Winchester 497-501
|
| Full: PDF (223 K) |
|
Design and synthesis of 4-aryl-4-oxobutanoic acid amides as calpain inhibitors Yong Zhang, Seo Yoon Jung, Changbae Jin, Nam Doo Kim, Ping Gong, Yong Sup Lee 502-507
|
| Full: PDF (194 K) |
|
Synthesis and in vitro biological activity of retinyl polyhydroxybenzoates, novel hybrid retinoid derivatives Sungbum Kim, Youngmin Kim, Younggyu Kong, Hyojung Kim, Jahyo Kang 508-512
|
| Full: PDF (328 K) |
|
Synthesis and antitumor activity of novel 20s-camptothecin analogues Qingyong Li, Hongyan Lv, Yuangang Zu, Zhenhuan Qu, Liping Yao, Lin Su, Chen Liu, Limin Wang 513-515
|
| Full: PDF (147 K) |
|
Synthesis and biological evaluation of amide derivatives of diflunisal as potential anti-inflammatory agents Guang-Xiang Zhong, Jin-Qing Hu, Kun Zhao, Lu-Lu Chen, Wei-Xiao Hu, Ming-You Qiu 516-519
|
| Full: PDF (143 K) |
|
Host-rotaxanes with oligomeric axles are intracellular transport agents Jing Zhu, Molly McFarland-Mancini, Angela F. Drew, David B. Smithrud 520-523
|
| Full: PDF (368 K) |
|
Antibacterial alkoxybenzamide inhibitors of the essential bacterial cell division protein FtsZ Lloyd G. Czaplewski, Ian Collins, E. Andrew Boyd, David Brown, Stephen P. East, Mihaly Gardiner, Rowena Fletcher, David J. Haydon, Vincent Henstock, Peter Ingram, Clare Jones, Caterina Noula, Leanne Kennison, Chris Rockley, Valerie Rose, Helena B. Thomaides-Brears, Rebecca Ure, Mark Whittaker, Neil R. Stokes 524-527
|
| Full: PDF (219 K) |
|
Discovery and optimisation of a potent and selective tertiary sulfonamide oxytocin antagonist Nicholas P. Barton, Benjamin R. Bellenie, Andrew T. Doran, Amanda J. Emmons, Jag P. Heer, Cristian M. Salvagno 528-532
|
| Full: PDF (630 K) |
|
Identification of small molecules that inhibit GSK-3β through virtual screening Nam Sook Kang, Gil Nam Lee, Chi Hyun Kim, Myung Ae Bae, Ikyon Kim, Young Sik Cho 533-537
|
| Full: PDF (483 K) |
|
Potential utility of histamine H3 receptor antagonist pharmacophore in antipsychotics Y. von Coburg, T. Kottke, L. Weizel, X. Ligneau, H. Stark 538-542
|
| Full: PDF (326 K) |
|
Synthesis of 5- and 6-substituted 2-(4-dimethylaminophenyl)-1,3-benzoxazoles and their in vitro and in vivo evaluation as imaging agents for amyloid plaque Sven H. Hausner, David Alagille, Andrei O. Koren, Louis Amici, Julie K. Staley, Kelly P. Cosgrove, Ronald M. Baldwin, Gilles D. Tamagnan 543-545
|
| Full: PDF (151 K) |
|
Ultrasound promoted synthesis of 2-imidazolines in water: A greener approach toward monoamine oxidase inhibitors Gabriela da S. Sant’ Anna, Pablo Machado, Patricia D. Sauzem, Fernanda A. Rosa, Maribel A. Rubin, Juliano Ferreira, Helio G. Bonacorso, Nilo Zanatta, Marcos A.P. Martins 546-549
|
| Full: PDF (140 K) |
|
Synthesis and structure–activity studies of novel homomorpholine oxazolidinone antibacterial agents Ji-Young Kim, Frederick E. Boyer, Allison L. Choy, Michael D. Huband, Paul J. Pagano, J.V.N. Vara Prasad 550-553
|
| Full: PDF (130 K) |
|
Erratum to “Discovery of 4-aryl-2-oxo-2H-chromenes as a new series of apoptosis inducers using a cell- and caspase-based high-throughput screening assay” [Bioorg. Med. Chem. Lett. 18 (2008) 5571–5575] William Kemnitzer, Songchun Jiang, Hong Zhang, Shailaja Kasibhatla, Candace Crogan-Grundy, Charles Blais, Giorgio Attardo, Real Denis, Serge Lamothe, Henriette Gourdeau, Ben Tseng, John Drewe, Sui Xiong Cai 554
|
| Full: PDF (103 K) |
|
Erratum to “DNA-templated click chemistry for creation of novel DNA binding molecules” [Bioorg. Med. Chem. Lett. 18 (2008) 5660–5663] Shuhei Imoto, Tomoya Hirohama, Fumi Nagatsugi 555
|
| Full: PDF (117 K) |
|
Corrigendum to “Synthesis and structure–activity relationship studies of tyrosine-based antagonists at the human P2X7 receptor” [Bioorg. Med. Chem. Lett. 18 (2008) 571–575] Ga Eun Lee, Bhalchandra V. Joshi, Wangzhong Chen, Lak Shin Jeong, Hyung Ryong Moon, Kenneth A. Jacobson, Yong-Chul Kim 556
|
| Full: PDF (113 K) |
|
Instructions to contributors
I
|
| Full: PDF (43 K) |
|
|
|