Contents: HCA 8/2012
i
|
| Full: PDF (224 K) |
|
Preparation and Characterization of New C2- and C1-Symmetric Nitrogen, Oxygen, Phosphorous, and Sulfur Derivatives and Analogs of TADDOL. Part I : Compounds Containing One or Two Sulfur-Containing Substituents and Use in Cu-Catalyzed Enantioselective Conjugate Additions to Cyclic Enones Arkadius Pichota, Volker Gramlich, Albert K. Beck and Dieter Seebach 1239-1272
|
| Full: PDF (1366 K) |
|
Preparation and Characterization of New C2- and C1-Symmetric Nitrogen, Oxygen, Phosphorous, and Sulfur Derivatives and Analogs of TADDOL. Part II : TADDAMIN-Derived and Phosphorous-Containing Compounds Arkadius Pichota, Volker Gramlich, Hans-Ulrich Bichsel, Thomas Styner, Thomas Knöpfel, Ralf Wünsch, Tobias Hintermann, W. Bernd Schweizer, Albert K. Beck and Dieter Seebach 1273-1302
|
| Full: PDF (1352 K) |
|
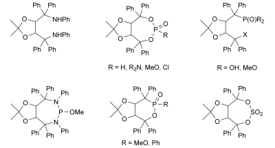
Preparation and Characterization of New C2- and C1-Symmetric Nitrogen, Oxygen, Phosphorous, and Sulfur Derivatives and Analogs of TADDOL. Part III : Some New Chiral Brønsted Acids for Organocatalysis and pKa Values in MeO-(CH2)2-OH/H2O – A Survey Dieter Seebach, Albert K. Beck, Hans-Ulrich Bichsel, Arkadius Pichota, Christof Sparr, Ralf Wünsch and W. Bernd Schweizer 1303-1324
|
| Full: PDF (1846 K) |
|
Synthesis of Aib-Pro Oligopeptides by Repeated Azirine Coupling with the Aib-Pro Synthon Svetlana A. Stoykova, Anthony Linden and Heinz Heimgartner 1325-1351
|
| Full: PDF (569 K) |
|
Modified Riemschneider Reaction of 3-Thiocyanatoquinolinediones Ondřej Rudolf, Vladimír Mrkvička, Antonín Lyčka, Michal Rouchal and Antonín Klásek 1352-1372
|
| Full: PDF (294 K) |
|
Synthesis, Characterization, and Biological Evaluation as Antibacterial Agents of Water-Soluble Calix[4]arenes and Phenol Derivatives Incorporating Carboxylate Groups Maxime Mourer, Stéphane Fontanay, Raphaël E. Duval and Jean-Bernard Regnouf-de-Vains 1373-1386
|
| Full: PDF (279 K) |
|
Further Withaphysalin Derivatives from Acnistus arborescens Ana Isabel V. Maia, Raimundo Braz-Filho, Edilberto R. Silveira, Carlos Alberto de Simone and Otília Deusdênia L. Pessoa 1387-1394
|
| Full: PDF (259 K) |
|
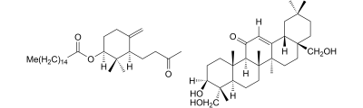
A New 30-Noroleanane Saponin from Wedelia chinensis Xing Li, Yu-Fang Wang, Qing-Wen Shi and Françoise Sauriol 1395-1400
|
| Full: PDF (164 K) |
|
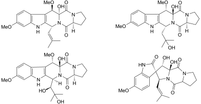
Diketopiperazine Alkaloids Produced by the Endophytic Fungus Aspergillus fumigatus from the Stem of Erythrophloeum fordiiOliv. Yu-Xi Liu, Shuang-Gang Ma, Xiao-Jing Wang, Nan Zhao, Jing Qu, Shi-Shan Yu, Jun-Gui Dai, Ying-Hong Wang and Yi-Kang Si 1401-1408
|
| Full: PDF (198 K) |
|
The Reactions of α-Ylidene (Vinylidene, Benzylidene, Styrylmethylidene) Bis[carbonyls] with Copper Mono/Bis[carbonylcarbenoids] Gökçe Merey, Mustafa Kaya and Olcay Anaç 1409-1424
|
| Full: PDF (394 K) |
|
Ultrasound-Assisted Synthesis of 3-(Arylamino)-1-ferrocenylpropan-1-ones Anka Pejović, Dragana Stevanović, Ivan Damljanović, Mirjana Vukićević, Sladjana B. Novaković, Goran A. Bogdanović, Tatjana Mihajilov-Krstev, Niko Radulović and Rastko D. Vukićević 1425-1441
|
| Full: PDF (290 K) |
|
Polyprenylated Xanthones and Benzophenones from the Bark of Garcinia oblongifolia Wei-Guang Shan, Tian-Song Lin, Hai-Ning Yu, Yan Chen and Zha-Jun Zhan 1442-1448
|
| Full: PDF (190 K) |
|
Alkaloids from the Stems of Glycosmis pentaphylla Guang-Zhong Yang, Yi Wu and Yu Chen 1449-1454
|
| Full: PDF (160 K) |
|
A New Megastigmane Palmitate and a New Oleanane Triterpenoid from Aster yomenaMakino Qinglong Jin, Hong-Guang Jin, A Ryun Kim and Eun-Rhan Woo 1455-1460
|
| Full: PDF (170 K) |
|
Improved Synthesis of Indirubin Derivatives by Sequential Build-Up of the Indoxyl Unit: First Preparation of Fluorescent Indirubins Herbert M. Riepl and Corinna Urmann 1461-1477
|
| Full: PDF (273 K) |
|