Editorial board
IFC
|
| Full: PDF (71 K) |
|
Graphical contents list
3553-3562
|
| Full: PDF (849 K) |
|
The Barton ester free-radical reaction: a brief review of applications Maurício F. Saraiva, Mara R.C. Couri, Mireille Le Hyaric, Mauro V. de Almeida 3563-3572
|
| Full: PDF (687 K) |
|
The umpolung of substituent effect in nucleophilic aromatic substitution. A new approach to the synthesis of N,N-disubstituted melamines (triazine triskelions) under mild reaction conditions Beata Kolesinska, Zbigniew J. Kaminski 3573-3576
|
| Full: PDF (203 K) |
|
Synthesis of 6-hydroxy-2-naphthoic acid from 2,6-diisopropylnaphthalene using NHPI as a key catalyst Ryota Nakamura, Yasushi Obora, Yasutaka Ishii 3577-3581
|
| Full: PDF (231 K) |
|
Synthesis of substituted carbazoles via electrocyclization of in situ generated enamines from 1-phenylsulfonyl-2/(3)-methyl-3/(2)-vinylindoles and DMF·DMA/DMA·DMA Radhakrishnan Sureshbabu, Ramalingam Balamurugan, Arasambattu K. Mohanakrishnan 3582-3591
|
| Full: PDF (931 K) |
|
Synthesis of di-, tri-, and tetra-substituted carbazole analogs involving annulation methodology Neelamegam Ramesh, Ganesan Gobi Rajeshwaran, Arasambattu K. Mohanakrishnan 3592-3602
|
| Full: PDF (601 K) |
|
Highly efficient synthesis of functionalized dihydronaphthalenes, tetrahydronaphthalenes, and tetrahydroisoquinolines by iron-catalyzed intramolecular Friedel–Crafts reaction of aryl-containing propargylic alcohols Wen Huang, Longcheng Hong, Pengzhi Zheng, Ruiting Liu, Xigeng Zhou 3603-3610
|
| Full: PDF (976 K) |
|
Synthesis of new β-hydroxy amide ligands and their Ti(IV) complex-catalyzed enantioselective alkynylation of aliphatic and vinyl aldehydes Ya-Min Li, Yi-Quan Tang, Xin-Ping Hui, Lu-Ning Huang, Peng-Fei Xu 3611-3614
|
| Full: PDF (209 K) |
|
Synthesis of C–C bonded dimeric steroids by olefin metathesis Valeria C. Edelsztein, Pablo H. Di Chenna, Gerardo Burton 3615-3623
|
| Full: PDF (334 K) |
|
N-Alkylation of carbamates and amides with alcohols catalyzed by a Cp*Ir complex Ken-ichi Fujita, Atsuo Komatsubara, Ryohei Yamaguchi 3624-3628
|
| Full: PDF (200 K) |
|
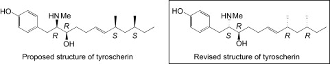
Synthesis and structure revision of tyroscherin, and bioactivities of its stereoisomers against IGF-1-dependent tumor cells Ken Ishigami, Ryo Katsuta, Chié Shibata, Yoichi Hayakawa, Hidenori Watanabe, Takeshi Kitahara 3629-3638
|
| Full: PDF (394 K) |
|
Structure and electronic properties of quinone dimers connected with acetylene and diacetylene linkages Naoto Hayashi, Takahiro Ohnuma, Yoko Saito, Hiroyuki Higuchi, Keiko Ninomiya 3639-3644
|
| Full: PDF (434 K) |
|
Synthesis of oligophenylenes containing hydroxyl group and their solvatochromic behavior Isao Yamaguchi, Kazuyuki Goto, Moriyuki Sato 3645-3652
|
| Full: PDF (528 K) |
|
Synthesis of 1-phenyl- and 1-pyridyl-3-pyridoazepines by reductive cyclization of diarylacetonitriles M. Carmen de la Fuente, Domingo Domínguez 3653-3658
|
| Full: PDF (275 K) |
|
Synthetic studies on homophymine A: stereoselective synthesis of (2R,3R,4R,6R)-3-hydroxy-2,4,6-trimethyloctanoic acid Filomena Bellotta, Maria Valeria D'Auria, Valentina Sepe, Angela Zampella 3659-3663
|
| Full: PDF (214 K) |
|
Conformational isomerism in 1,2-di-o-tolylnaphthalenes: selective rotation of the 2-aryl ring Thian-Guan Peck, Yee-Hing Lai 3664-3667
|
| Full: PDF (285 K) |
|
Formation of new 4-isocyanobut-2-enenitriles by thermal ring cleavage of 3-pyridyl azides Vegar Stockmann, Jan M. Bakke, Per Bruheim, Anne Fiksdahl 3668-3672
|
| Full: PDF (262 K) |
|
Pyrrolidine N-alkylphosphonates and related nucleotide analogues: synthesis and stereochemistry Dominik Rejman, Radek Pohl, Petr Kočalka, Milena Masojídková, Ivan Rosenberg 3673-3681
|
| Full: PDF (479 K) |
|
Synthesis of functionalized adamantanes from fluoroadamantanes Motoshi Aoyama, Shoji Hara 3682-3687
|
| Full: PDF (620 K) |
|
Acid catalyzed monodehydro-2,5-diketopiperazine formation from N-α-ketoacyl amino acid amides Yuri Yamazaki, Yuki Mori, Akiko Oda, Yuka Okuno, Yoshiaki Kiso, Yoshio Hayashi 3688-3694
|
| Full: PDF (340 K) |
|
Studies on Cu(I)-catalyzed synthesis of simple 3-substituted 1,2-allenes and optically active 2-substituted secondary 2,3-allenols Jing Li, Chao Zhou, Chunling Fu, Shengming Ma 3695-3703
|
| Full: PDF (359 K) |
|
Electrogenerated N-heterocyclic carbenes: N-functionalization of benzoxazolones I. Chiarotto, M. Feroci, M. Orsini, G. Sotgiu, A. Inesi 3704-3710
|
| Full: PDF (1002 K) |
|
Regioselective ring opening of thiomalic acid anhydrides by carbon nucleophiles. Synthesis and X-ray structure elucidation of novel thiophenone derivatives Stefanos Kikionis, Vickie McKee, John Markopoulos, Olga Igglessi-Markopoulou 3711-3716
|
| Full: PDF (718 K) |
|
Synthesis and biological evaluation of potent glycosidase inhibitors: 4-deoxy-4,4-difluoroisofagomine and analogues Rui-jie Li, Mikael Bols, Cyril Rousseau, Xin-gang Zhang, Ruo-wen Wang, Feng-Ling Qing 3717-3727
|
| Full: PDF (465 K) |
|
Synthesis and properties of novel liquid crystalline materials with super high birefringence: styrene monomers bearing diacetylenes, naphthyl, and nitrogen-containing groups Xiao-Lin Guan, Lan-Ying Zhang, Zhen-Lin Zhang, Zhihao Shen, Xiao-Fang Chen, Xing-He Fan, Qi-Feng Zhou 3728-3732
|
| Full: PDF (379 K) |
|
Metal catalyst-free amination of meso-bromoporphyrins: an entry to supramolecular porphyrinoid frameworks Mihaela Carmen Balaban, Cyril Chappaz-Gillot, Gabriel Canard, Olaf Fuhr, Christian Roussel, Teodor Silviu Balaban 3733-3739
|
| Full: PDF (394 K) |
|
Charge-transfer host system composed of 9,10-bis(3,5-dihydroxyphenyl)anthracene and methylviologen Yoshitane Imai, Takafumi Kinuta, Kensaku Kamon, Nobuo Tajima, Tomohiro Sato, Reiko Kuroda, Yoshio Matsubara 3740-3744
|
| Full: PDF (504 K) |
|
Formation of 1,2-dioxolanes using Mn(III)-based reaction of various arylacetylenes with 2,4-pentanedione and related reaction Takuma Tsubusaki, Hiroshi Nishino 3745-3752
|
| Full: PDF (382 K) |
|
Synthesis of 2-(3-hydroxy-2-methyl-1-alkenyl)-1-pyrrolines and 2-(3-hydroxybutyl)-1-pyrroline using α-lithiated 2-methyl-1-pyrroline Matthias D'hooghe, Kourosch Abbaspour Tehrani, Norbert De Kimpe 3753-3756
|
| Full: PDF (199 K) |
|
Synthesis of chiral sulfinamido-sulfonamides and their evaluation as ligands for the enantioselective ethylation of aldehydes Alma Viso, Roberto Fernández de la Pradilla, Mercedes Ureña 3757-3766
|
| Full: PDF (412 K) |
|
Cyclodehydrogenation of hetero-oligophenylenes Samuthirapandian Nagarajan, Cécile Barthes, André Gourdon 3767-3772
|
| Full: PDF (239 K) |
|
Synthesis of 2,2-functionalized benzo[1,3]dioxoles Nader M. Boshta, Martin Bomkamp, Siegfried R. Waldvogel 3773-3779
|
| Full: PDF (667 K) |
|
Stereoselectivity of glycosylations of conformationally restricted mannuronate esters Jeroen D.C. Codée, Ana R. de Jong, Jasper Dinkelaar, Herman S. Overkleeft, Gijsbert A. van der Marel 3780-3788
|
| Full: PDF (459 K) |
|
A new approach to construction of isoindolo[1,2-a]isoquinoline alkaloids Nuevamine, Jamtine, and Hirsutine via IMDAF reaction Fedor I. Zubkov, Julya D. Ershova, Anna A. Orlova, Vladimir P. Zaytsev, Eugeniya V. Nikitina, Alexandr S. Peregudov, Atash V. Gurbanov, Roman S. Borisov, Victor N. Khrustalev, Abel M. Maharramov, Alexey V. Varlamov 3789-3803
|
| Full: PDF (601 K) |
|
A regioselective three-component reaction for synthesis of novel 1′H-spiro[isoindoline-1,2′-quinazoline]-3,4′(3′H)-dione derivatives Ali A. Mohammadi, M. Dabiri, H. Qaraat 3804-3808
|
| Full: PDF (209 K) |
|
Calendar
I
|
| Full: PDF (60 K) |
|
|
|